所有产品
MC003490 6-Methyl-2-chromanone
Catalog No. MC003490 Name 6-Methyl-2-chromanone Other Name 6-Methyl-3,4-dihydrocoumarin CAS Number 92-47-7 Alt CAS MFCD Number MFCD19982662 Purity >95% Formula C10H10O2 ...
登录查看价格请登录后查询价格
MC003523 DO3A tert-Butyl ester
Catalog No. MC003523 Name DO3A tert-Butyl ester Other Name Tri-tert-Butyl 1,4,7,10-Tetraazacyclododecane-1,4,7-triacetate CAS Number 122555-91-3 Alt CAS MFCD Number MFCD05865261 ...
登录查看价格请登录后查询价格
MC003524 Siramesine hydrochloride
Catalog No. MC003524 Name Siramesine hydrochloride Other Name 1'-{4-[1-(4-Fluorophenyl)-1H-indol-3-yl]butyl}-3H-spiro[2-benzofuran-1,4'-piperidine] hydrochloride CAS Number 224177-60-0 Alt CAS...
登录查看价格请登录后查询价格
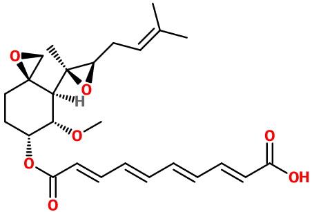
MC003530 Fumagillin
Catalog No. MC003530 Name Fumagillin Other Name (2E,4E,6E,8E)-Mono[(3R,4S,5S,6R)-5-methoxy-4-[(2R,3R)-2-methyl-3-(3-methyl-2-butenyl)oxiranyl]-1-oxaspiro[2.5]oct-6-yl] 2,4,6,8-decatetraenedioic acid ester CAS Number...
登录查看价格请登录后查询价格
MC003560 (R)-1-Trifluoro-Et-3-Trt-amino-tetrahydrobenzazepinone
Catalog No. MC003560 Name (R)-1-(2,2,2-Trifluoro-ethyl)-3-(tritylamino)-1,3,4,5-tetrahydro-1-benzazepin-2-one Other Name CAS Number 950509-60-1 Alt CAS MFCD Number ...
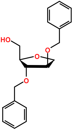
登录查看价格请登录后查询价格MC003574 1,4-Anhydro-2,3-bis-O-benzyl-D-arabinitol
Catalog No. MC003574 Name 1,4-Anhydro-2,3-bis-O-benzyl-D-arabinitol Other Name CAS Number 138858-50-1 Alt CAS MFCD Number Purity >95% Formula C19H22O4 ...
登录查看价格请登录后查询价格![Powered by Zen Cart :: 电子商务的艺术 [首页] (图片) Powered by Zen Cart :: 电子商务的艺术 [首页]](includes/templates/mobishop_blue/images/logo.gif)


