| Catalog No. | MC004975 | |
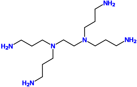
| Name | Tetrakis(3-aminopropyl)ethylenediamine | |
| Other Name | N1,N1'-1,2-Ethanediylbis[N1-(3-aminopropyl)-1,3-propanediamine] | |
| CAS Number | 4879-98-5 | |
| Alt CAS | ||
| MFCD Number | ||
| Purity | >95% | |
| Formula | C14H36N6 | |
| FW | 288.5 | |
| Appearance | Yellow oil | |
| Storage | Normal | |
| Shipping | Normal | |
| Note |
![Powered by Zen Cart :: 电子商务的艺术 [首页] (图片) Powered by Zen Cart :: 电子商务的艺术 [首页]](includes/templates/mobishop_blue/images/logo.gif)

